 Your new post is loading...
 Your new post is loading...
|
Scooped by
Complexity Digest
June 4, 2023 12:15 PM
|
Douglas Blackiston, Sam Kriegman, Josh Bongard, and Michael Levin Soft Robotics Advances in science and engineering often reveal the limitations of classical approaches initially used to understand, predict, and control phenomena. With progress, conceptual categories must often be re-evaluated to better track recently discovered invariants across disciplines. It is essential to refine frameworks and resolve conflicting boundaries between disciplines such that they better facilitate, not restrict, experimental approaches and capabilities. In this essay, we address specific questions and critiques which have arisen in response to our research program, which lies at the intersection of developmental biology, computer science, and robotics. In the context of biological machines and robots, we explore changes across concepts and previously distinct fields that are driven by recent advances in materials, information, and life sciences. Herein, each author provides their own perspective on the subject, framed by their own disciplinary training. We argue that as with computation, certain aspects of developmental biology and robotics are not tied to specific materials; rather, the consilience of these fields can help to shed light on issues of multiscale control, self-assembly, and relationships between form and function. We hope new fields can emerge as boundaries arising from technological limitations are overcome, furthering practical applications from regenerative medicine to useful synthetic living machines. Read the full article at: www.liebertpub.com
|
Scooped by
Complexity Digest
June 3, 2023 12:11 PM
|
R. Solé & V. Maull The possibility of abrupt transitions threatens to poise ecosystems into irreversibly degraded states. Recently, it has been proposed the use of engineered microbiomes in endangered ecosystems to prevent them to cross tipping points and avoid collapse. Potential targets for such interventions include some of the most prominent life-support systems in the biosphere: drylands and coral reefs. Since engineering can require the introduction of microorganisms not present in resident communities, how can we weight the potential outcomes? One way is to use general models of species interactions where the "synthetic" strain is incorporated into a standard multispecies model. Here we follow this approach by modelling a resource-consumer community where one of the species is a modified one that acts by preserving some key resource. We show how the indirect effect of damping the decay of shared resources results in biodiversity increase, and last but not less, the successful incorporation of the synthetic within the ecological network. Further extensions and implications for future restoration and terraformation strategies are discussed. Read the full article at: www.preprints.org
|
Scooped by
Complexity Digest
June 2, 2023 8:30 PM
|
Simple math can help explain the complexities of the newly discovered aperiodic monotile. Read the full article at: www.quantamagazine.org
|
Scooped by
Complexity Digest
June 2, 2023 10:01 AM
|
Yanyan Xu, Luis E. Olmos, David Mateo, Alberto Hernando, Xiaokang Yang, Marta C. Gonzalez The urban spatial structure represents the distribution of public and private spaces in cities and how people move within them. While it usually evolves slowly, it can change fast during large-scale emergency events, as well as due to urban renewal in rapidly developing countries. This work presents an approach to delineate such urban dynamics in quasi-real-time through a human mobility metric, the mobility centrality index ΔKS. As a case study, we tracked the urban dynamics of eleven Spanish cities during the COVID-19 pandemic. Results revealed that their structures became more monocentric during the lockdown in the first wave, but kept their regular spatial structures during the second wave. To provide a more comprehensive understanding of mobility from home, we also introduce a dimensionless metric, KSHBT, which measures the extent of home-based travel and provides statistical insights into the transmission of COVID-19. By utilizing individual mobility data, our metrics enable the detection of changes in the urban spatial structure. Read the full article at: arxiv.org
|
Scooped by
Complexity Digest
June 1, 2023 1:10 PM
|
Hiroki Kojima, Takashi Ikegami The relationship between reaction-diffusion (RD) systems, characterized by continuous spatiotemporal states, and cellular automata (CA), marked by discrete spatiotemporal states, remains poorly understood. This paper delves into this relationship through an examination of a recently developed CA known as Lenia. We demonstrate that asymptotic Lenia, a variant of Lenia, can be comprehensively described by differential equations, and, unlike the original Lenia, it is independent of time-step ticks. Further, we establish that this formulation is mathematically equivalent to a generalization of the kernel-based Turing model (KT model). Stemming from these insights, we establish that asymptotic Lenia can be replicated by an RD system composed solely of diffusion and spatially local reaction terms, resulting in the simulated asymptotic Lenia based on an RD system, or "RD Lenia". However, our RD Lenia cannot be construed as a chemical system since the reaction term fails to satisfy mass-action kinetics. Read the full article at: arxiv.org
|
Scooped by
Complexity Digest
June 1, 2023 11:07 AM
|
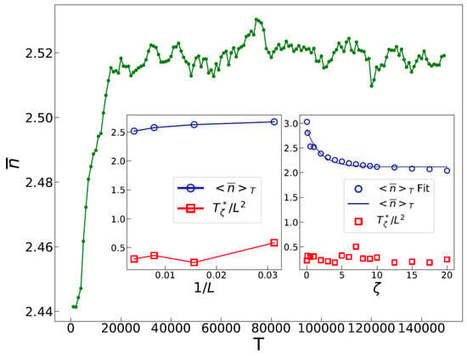
Morteza Nattagh-Najafi, Mohammad Nabil, Rafsun Hossain Mridha and Seyed Amin Nabavizadeh Entropy 2023, 25(6), 861 Inspired by recent observations on active self-organized critical (SOC) systems, we designed an active pile (or ant pile) model with two ingredients: beyond-threshold toppling and under-threshold active motions. By including the latter component, we were able to replace the typical power-law distribution for geometric observables with a stretched exponential fat-tailed distribution, where the exponent and decay rate are dependent on the activity’s strength (𝜁). This observation helped us to uncover a hidden connection between active SOC systems and 𝛼-stable Levy systems. We demonstrate that one can partially sweep 𝛼-stable Levy distributions by changing 𝜁. The system undergoes a crossover towards Bak–Tang–Weisenfeld (BTW) sandpiles with a power-law behavior (SOC fixed point) below a crossover point 𝜁<𝜁∗≈0.1. Read the full article at: www.mdpi.com
|
Scooped by
Complexity Digest
May 27, 2023 1:16 PM
|
Richard Watson and Michael Levin Collective Intelligence Collective intelligence and individual intelligence are usually considered to be fundamentally different. Individual intelligence is uncontroversial. It occurs in organisms with special neural machinery, evolved by natural selection to enable cognitive and learning functions that serve the fitness benefit of the organism, and then trained through lifetime experience to maximise individual rewards. Whilst the mechanisms of individual intelligence are not fully understood, good models exist for many aspects of individual cognition and learning. Collective intelligence, in contrast, is a much more ambiguous idea. What exactly constitutes collective intelligence is often vague, and the mechanisms that might enable it are frequently domain-specific. These cannot be mechanisms selected specifically for the purpose of collective intelligence because collectives are not (except in special circumstances) evolutionary units, and it is not clear that collectives can learn the way individual intelligences do since they are not a singular locus of rewards and benefits. Here, we use examples from evolution and developmental morphogenesis to argue that these apparent distinctions are not as categorical as they appear. Breaking down such distinctions enables us to borrow from and expand existing models of individual cognition and learning as a framework for collective intelligence, in particular connectionist models familiar in the context of neural networks. We discuss how specific features of these models inform the necessary and sufficient conditions for collective intelligence, and identify current knowledge gaps as opportunities for future research. Read the full article at: journals.sagepub.com
|
Scooped by
Complexity Digest
May 24, 2023 1:23 PM
|
Michael Levin Animal Cognition (2023) Each of us made the remarkable journey from mere matter to mind: starting life as a quiescent oocyte (“just chemistry and physics”), and slowly, gradually, becoming an adult human with complex metacognitive processes, hopes, and dreams. In addition, even though we feel ourselves to be a unified, single Self, distinct from the emergent dynamics of termite mounds and other swarms, the reality is that all intelligence is collective intelligence: each of us consists of a huge number of cells working together to generate a coherent cognitive being with goals, preferences, and memories that belong to the whole and not to its parts. Basal cognition is the quest to understand how Mind scales—how large numbers of competent subunits can work together to become intelligences that expand the scale of their possible goals. Crucially, the remarkable trick of turning homeostatic, cell-level physiological competencies into large-scale behavioral intelligences is not limited to the electrical dynamics of the brain. Evolution was using bioelectric signaling long before neurons and muscles appeared, to solve the problem of creating and repairing complex bodies. In this Perspective, I review the deep symmetry between the intelligence of developmental morphogenesis and that of classical behavior. I describe the highly conserved mechanisms that enable the collective intelligence of cells to implement regulative embryogenesis, regeneration, and cancer suppression. I sketch the story of an evolutionary pivot that repurposed the algorithms and cellular machinery that enable navigation of morphospace into the behavioral navigation of the 3D world which we so readily recognize as intelligence. Understanding the bioelectric dynamics that underlie construction of complex bodies and brains provides an essential path to understanding the natural evolution, and bioengineered design, of diverse intelligences within and beyond the phylogenetic history of Earth. Read the full article at: link.springer.com
|
Scooped by
Complexity Digest
May 21, 2023 5:47 PM
|
Matthew Egbert, Martin M. Hanczyc, Inman Harvey, Nathaniel Virgo, Emily C. Parke, Tom Froese, Hiroki Sayama, Alexandra S. Penn & Stuart Bartlett Origins of Life and Evolution of Biospheres It is common in origins of life research to view the first stages of life as the passive result of particular environmental conditions. This paper considers the alternative possibility: that the antecedents of life were already actively regulating their environment to maintain the conditions necessary for their own persistence. In support of this proposal, we describe ‘viability-based behaviour’: a way that simple entities can adaptively regulate their environment in response to their health, and in so doing, increase the likelihood of their survival. Drawing on empirical investigations of simple self-preserving abiological systems, we argue that these viability-based behaviours are simple enough to precede neo-Darwinian evolution. We also explain how their operation can reduce the demanding requirements that mainstream theories place upon the environment(s) in which life emerged. Read the full article at: link.springer.com
|
Scooped by
Complexity Digest
May 20, 2023 3:12 PM
|
Dániel L Barabási, Ginestra Bianconi, Ed Bullmore, Mark Burgess, SueYeon Chung, Tina Eliassi-Rad, Dileep George, István A. Kovács, Hernán Makse, Christos Papadimitriou, Thomas E. Nichols, Olaf Sporns, Kim Stachenfeld, Zoltán Toroczkai, Emma K. Towlson, Anthony M Zador, Hongkui Zeng, Albert-László Barabási, Amy Bernard, György Buzsáki The brain is a complex system comprising a myriad of interacting elements, posing significant challenges in understanding its structure, function, and dynamics. Network science has emerged as a powerful tool for studying such intricate systems, offering a framework for integrating multiscale data and complexity. Here, we discuss the application of network science in the study of the brain, addressing topics such as network models and metrics, the connectome, and the role of dynamics in neural networks. We explore the challenges and opportunities in integrating multiple data streams for understanding the neural transitions from development to healthy function to disease, and discuss the potential for collaboration between network science and neuroscience communities. We underscore the importance of fostering interdisciplinary opportunities through funding initiatives, workshops, and conferences, as well as supporting students and postdoctoral fellows with interests in both disciplines. By uniting the network science and neuroscience communities, we can develop novel network-based methods tailored to neural circuits, paving the way towards a deeper understanding of the brain and its functions. Read the full article at: arxiv.org
|
Scooped by
Complexity Digest
May 19, 2023 1:34 PM
|
Aparna Keshaviah, Megan B Diamond, Matthew J Wade, Samuel V Scarpino, on behalf of theGlobal Wastewater Action Group The Lancet Global Health VOLUME 11, ISSUE 6, E976-E981, JUNE 2023 To inform the development of global wastewater monitoring systems, we surveyed programmes in 43 countries. Most programmes monitored predominantly urban populations. In high-income countries (HICs), composite sampling at centralised treatment plants was most common, whereas grab sampling from surface waters, open drains, and pit latrines was more typical in low-income and middle-income countries (LMICs). Almost all programmes analysed samples in-country, with an average processing time of 2·3 days in HICs and 4·5 days in LMICs. Whereas 59% of HICs regularly monitored wastewater for SARS-CoV-2 variants, only 13% of LMICs did so. Most programmes share their wastewater data internally, with partnering organisations, but not publicly. Our findings show the richness of the existing wastewater monitoring ecosystem. With additional leadership, funding, and implementation frameworks, thousands of individual wastewater initiatives can coalesce into an integrated, sustainable network for disease surveillance—one that minimises the risk of overlooking future global health threats. Read the full article at: www.thelancet.com
|
Scooped by
Complexity Digest
May 16, 2023 12:32 PM
|
Sergey B. Yurchenko Biosystems Volume 229, July 2023, 104925 Is information the other face of causation? This issue cannot be clarified without discussing how these both are related to physical laws, logic, computation, networks, bio-signaling, and the mind-body problem. The relation between information and causation is also intrinsically linked to many other concepts in complex systems theory such as emergence, self-organization, synergy, criticality, and hierarchy, which in turn involve various notions such as observer-dependence, dimensionality reduction, and especially downward causation. A canonical example proposed for downward causation is the collective behavior of the whole system at a macroscale that may affect the behavior of each its member at a microscale. In neuroscience, downward causation is suggested as a strong candidate to account for mental causation (free will). However, this would be possible only on the condition that information might have causal power. After introducing the Causal Equivalence Principle expanding the relativity principle for coarse-grained and fine-grained linear causal chains, and a set-theoretical definition of multiscale nested hierarchy composed of modular ⊂-chains, it is shown that downward causation can be spurious. It emerges only in the eyes of an observer, though, due to information that could not be obtained by “looking” exclusively at the behavior of a system at a microscale. On the other hand, since biological systems are hierarchically organized, this information gain is indicative of how information can be a function of scale in these systems and a prerequisite for scale-dependent emergence of cognition and consciousness in neural networks. Read the full article at: www.sciencedirect.com
|
Scooped by
Complexity Digest
May 13, 2023 11:54 AM
|
KAROL A. BACIK, BOGDAN S. BACIK, AND TIM ROGERS SCIENCE Vol 379, Issue 6635 pp. 923-928 Laning is a paradigmatic example of spontaneous organization in active two-component flows that has been observed in diverse contexts, including pedestrian traffic, driven colloids, complex plasmas, and molecular transport. We introduce a kinetic theory that elucidates the physical origins of laning and quantifies the propensity for lane nucleation in a given physical system. Our theory is valid in the low-density regime, and it makes different predictions about situations in which lanes may form that are not parallel with the direction of flow. We report on experiments with human crowds that verify two notable consequences of this phenomenon: tilting lanes under broken chiral symmetry and lane nucleation along elliptic, parabolic, and hyperbolic curves in the presence of sources or sinks. Read the full article at: www.science.org
|
|
Scooped by
Complexity Digest
June 4, 2023 10:06 AM
|
Juval Portugali Entropy 2023, 25(6), 872 This paper draws attention to four central concepts in Schrödinger’s ‘What is Life?’ that have not, as yet, received sufficient attention in the domain of complexity: delayed entropy, free energy, order out of order and aperiodic crystal. It then demonstrates the important role the four elements play in the dynamics of complex systems by elaborating on their implications for cities as complex systems. Read the full article at: www.mdpi.com
|
Scooped by
Complexity Digest
June 3, 2023 9:58 AM
|
Atoosa Parsa, Sven Witthaus, Nidhi Pashine, Corey S. O'Hern, Rebecca Kramer-Bottiglio, Josh Bongard Unconventional computing devices are increasingly of interest as they can operate in environments hostile to silicon-based electronics, or compute in ways that traditional electronics cannot. Mechanical computers, wherein information processing is a material property emerging from the interaction of components with the environment, are one such class of devices. This information processing can be manifested in various physical substrates, one of which is granular matter. In a granular assembly, vibration can be treated as the information-bearing mode. This can be exploited to realize "polycomputing": materials can be evolved such that a single grain within them can report the result of multiple logical operations simultaneously at different frequencies, without recourse to quantum effects. Here, we demonstrate the evolution of a material in which one grain acts simultaneously as two different NAND gates at two different frequencies. NAND gates are of interest as any logical operations can be built from them. Moreover, they are nonlinear thus demonstrating a step toward general-purpose, computationally dense mechanical computers. Polycomputation was found to be distributed across each evolved material, suggesting the material's robustness. With recent advances in material sciences, hardware realization of these materials may eventually provide devices that challenge the computational density of traditional computers. Read the full article at: arxiv.org
|
Scooped by
Complexity Digest
June 2, 2023 12:02 PM
|
Hao Cui, János Kertész PLoS ONE 18(5): e0286093. Microblogging sites are important vehicles for the users to obtain information and shape public opinion thus they are arenas of continuous competition for popularity. Most popular topics are usually indicated on ranking lists. In this study, we investigate the public attention dynamics through the Hot Search List (HSL) of the Chinese microblog Sina Weibo, where trending hashtags are ranked based on a multi-dimensional search volume index. We characterize the rank dynamics by the time spent by hashtags on the list, the time of the day they appear there, the rank diversity, and by the ranking trajectories. We show how the circadian rhythm affects the popularity of hashtags, and observe categories of their rank trajectories by a machine learning clustering algorithm. By analyzing patterns of ranking dynamics using various measures, we identify anomalies that are likely to result from the platform provider’s intervention into the ranking, including the anchoring of hashtags to certain ranks on the HSL. We propose a simple model of ranking that explains the mechanism of this anchoring effect. We found an over-representation of hashtags related to international politics at 3 out of 4 anchoring ranks on the HSL, indicating possible manipulations of public opinion. Read the full article at: journals.plos.org
|
Scooped by
Complexity Digest
June 1, 2023 2:05 PM
|
A. Houssard, F. Pilati, M. Tartari, P. L. Sacco & R. Gallotti Scientific Reports volume 13, Article number: 1103 (2023) The live streaming platform Twitch underwent in recent years an impressive growth in terms of viewership and content diversity. The platform has been the object of several studies showcasing how streamers monetize their content via a peculiar system centered around para-sociality and community dynamics. Nonetheless, due to scarcity of data, lots is still unknown about the platform-wide relevance of this explanation as well as its effect on inequalities across streamers. In this paper, thanks to the recent availability of data showcasing the top 10,000 streamers revenue between 2019 and 2021, as well as viewership data from different sources, we characterized the popularity and audience monetization dynamics of the platform. Using methods from social physics and econometrics, we analyzed audience building and retention dynamics and linked them to observed inequalities. We found a high level of inequality across the platform, as well as an ability of top streamers to diversify their revenue sources, through audience renewal and diversification in monetization systems. Our results demonstrate that, even if the platform design and affordance favor monetization for smaller creators catering to specific niches, its non-algorithmic design still leaves room for classical choice biases allowing a few streamers to emerge, retain and renew a massive audience. Read the full article at: www.nature.com
|
Scooped by
Complexity Digest
June 1, 2023 12:07 PM
|
Moataz Medhat ElQadi, Adrian G. Dyer, Carolyn Vlasveld, Alan Dorin Flora Volume 304, July 2023, 152311 Understanding how changing climatic conditions are impacting flowering plants typically requires intensive effort and expense to sample a local site regularly over long periods of time. The logistics of organising detailed surveys of an extensive area to provide a wider perspective are even more inhibitive. Data on flower bloom patterns across areas stretching hundreds or thousands of kilometres, and with a temporal resolution down to 1 or 2 weeks, is nevertheless very valuable, should it be feasible to collect. To understand the potential for contemporary data to record such flowering patterns, we studied Japan, a country where cherry (Sakura, 桜) flower viewing (Hanami) is a national cultural practice stretching back hundreds of years, and in which contemporary citizens and visitors commonly photograph blossoms to share on social network sites (SNS). We employed the big data this activity creates, within an iEcology framework, by collecting images from the SNS Flickr over the decade 2008–2018. We developed a custom filtering pipeline to validate this extracted data against established databases of historical flowering times. Our results reveal unprecedented detail of the spatiotemporal pattern over which cherry blossoms seasonally sweep from southern to northern Japan during a 12 week period. They also were sufficiently sensitive to reveal a subtle out of peak season bloom. This novel approach and data source therefore provides a simultaneously broad and detailed perspective that communicates the seasonal ecological phenomenon of cherry tree flowering. Read the full article at: www.sciencedirect.com
|
Scooped by
Complexity Digest
June 1, 2023 10:03 AM
|
Lana Sinapayen This paper reports on patterns exhibiting self-replication with spontaneous, inheritable mutations and exponential genetic drift in Neural Cellular Automata. Despite the models not being explicitly trained for mutation or inheritability, the descendant patterns exponentially drift away from ancestral patterns, even when the automaton is deterministic. While this is far from being the first instance of evolutionary dynamics in a cellular automaton, it is the first to do so by exploiting the power and convenience of Neural Cellular Automata, arguably increasing the space of variations and the opportunity for Open Ended Evolution. Read the full article at: arxiv.org
|
Scooped by
Complexity Digest
May 26, 2023 1:20 PM
|
Ginestra Bianconi, Sergey N. Dorogovtsev Hypergraphs are able to capture interactions between two or more nodes and for this reason they are raising significant attention in the context of opinion dynamics, epidemic spreading, synchronization and game theory. However hypergraph robustness to random damage is not yet widely explored. While the hypegraph structure can be always encoded in a factor graph, i.e. a bipartite network between nodes and hyperedges, here we reveal that percolation on hypegraphs is distinct from percolation on their corresponding factor graphs when nodes are randomly damaged. Notably, we show that the node percolation threshold on hypergraphs exceeds node percolation threshold on factor graphs. Furthermore we show that differently from what happens in ordinary graphs, containing only edges of cardinality 2, on hypergraphs the node percolation threshold and hyperedge percolation threshold do not coincide, with the node percolation threshold exceeding the hyperedge percolation threshold. These results are obtained within a message-passing theory valid in the locally tree-like approximation of the factor graph. In the same approximation we analytically predict the phase diagram and the critical properties of hypegraph percolation on random hypergraphs and on multiplex hypergraphs. We compare the results obtained for hypergraph percolation with the ones for percolation on factor graphs and we validate our results with Monte Carlo simulations and message-passing predictions on random hypergraphs and on the real hypergraph of US Senate committees. Read the full article at: arxiv.org
|
Scooped by
Complexity Digest
May 23, 2023 1:15 PM
|
Diego Gómez-Zará, Peter Schiffer & Dashun Wang Nature Human Behaviour (2023) The metaverse can improve the accessibility of scientific laboratories and meetings, aid in reproducibility efforts and provide new opportunities for experimental design. But researchers and research institutions must plan ahead and be ready to mitigate potential harms. Read the full article at: www.nature.com
|
Scooped by
Complexity Digest
May 20, 2023 5:43 PM
|
Dirk Helbing, Sachit Mahajan, Regula Hänggli Fricker, Andrea Musso, Carina I. Hausladen, Cesare Carissimo, Dino Carpentras, Elisabeth Stockinger, Javier Argota Sanchez-Vaquerizo, Joshua C. Yang, Mark C. Ballandies, Marcin Korecki, Rohit K. Dubey, Evangelos Pournaras Journal of Computational Science The technological revolution, particularly the availability of more data and more powerful computational tools, has led to the emergence of a new scientific field called “Computational Diplomacy”. Our work tries to define its scope and focuses on a popular subarea of it, namely “Digital Democracy”. In recent years, there has been a surge of interest in using digital technologies to promote more participatory forms of democracy. While there are numerous potential benefits to using digital tools to enhance democracy, significant challenges must be addressed. It is essential to ensure that digital technologies are used in an accessible, equitable, and fair manner rather than reinforcing existing power imbalances. This paper investigates how digital tools can be used to help design more democratic societies by investigating three key research areas: (1) the role of digital technologies for facilitating civic engagement in collective decision-making; (2) the use of digital tools to improve transparency and accountability in governance; and (3) the potential for digital technologies to enable the formation of more inclusive and representative democracies. We argue that more research on how digital technologies can be used to support democracy upgrade is needed. Along these lines, we lay out a research agenda for the future. Read the full article at: www.sciencedirect.com
|
Scooped by
Complexity Digest
May 19, 2023 2:37 PM
|
Marcus Engsig, Alejandro Tejedor, Yamir Moreno, Efi Foufoula-Georgiou, Chaouki Kasmi Determining the key elements of interconnected infrastructure and complex systems is paramount to ensure system functionality and integrity. This work quantifies the dominance of the networks' nodes in their respective neighborhoods, introducing a novel centrality metric, DomiRank, that integrates local and global topological information via a tunable parameter. We present an analytical formula and an efficient parallelizable algorithm for DomiRank centrality, making it applicable to massive networks. DomiRank systematically outperforms other centrality metrics in generating targeted attacks that effectively compromise network structure and disrupt its functionality for synthetic and real-world topologies. Moreover, we show that DomiRank-based attacks inflict more enduring damage in the network, hindering its ability to rebound, and thus, impairing system resilience. DomiRank centrality capitalizes on the competition mechanism embedded in its definition to expose the fragility of networks, paving the way to design strategies to mitigate vulnerability and enhance the resilience of critical infrastructures. Read the full article at: arxiv.org
|
Scooped by
Complexity Digest
May 17, 2023 5:42 PM
|
Anna Ciaunica, Michael Levin, Fernando Rosas, Karl Friston The immune system is a central component of organismic function in humans. This paper addresses self-organisation of a biological system in relation to — and nested within — an other biological system in pregnancy. Pregnancy constitutes a fundamental state for human embodiment and a key step in the evolution and conservation of our species. While not all humans can be pregnant, our initial state of emerging and growing within another person’s body is universal. Hence, the pregnant state does not concern some individuals, but all individuals. Indeed, the hierarchical relationship in pregnancy reflects an even earlier autopoietic process in the embryo by which the number of individuals in a single blastoderm is dynamically determined by cell-cell interactions. The relationship, and the interactions between the two self-organising systems during pregnancy may play a pivotal role in understanding the nature of biological self-organisation per se in humans. Specifically, we consider the role of the immune system in biological self-organisation in addition to neural/brain systems that furnish us with a sense of self. We examine the complex case of pregnancy, whereby two immune systems need to negotiate exchange of resources and information in order to maintain viable self-regulation of nested systems. We conclude with a proposal for the mechanisms—that scaffold the complex relationship between two self-organising systems in pregnancy—through the lens of the Active Inference, with a focus on shared Markov blankets. Read the full article at: psyarxiv.com
|
Scooped by
Complexity Digest
May 14, 2023 11:56 AM
|
Antoine Allard, Cristopher Moore, Samuel V. Scarpino, Benjamin M. Althouse, and Laurent Hébert-Dufresne SIAM Review Vol. 65, Iss. 2 (2023) 10.1137/20M1383811 Most models of epidemic spread, including many designed specifically for COVID-19, implicitly assume mass-action contact patterns and undirected contact networks, meaning that the individuals most likely to spread the disease are also the most at risk of contracting it from others. Here, we review results from the theory of random directed graphs which show that many important quantities, including the reproduction number and the epidemic size, depend sensitively on the joint distribution of in- and out-degrees (``risk” and “spread''), including their heterogeneity and the correlation between them. By considering joint distributions of various kinds, we elucidate why some types of heterogeneity cause a deviation from the standard Kermack--McKendrick analysis of SIR models, i.e., so-called mass-action models where contacts are homogeneous and random, and why some do not. We also show that some structured SIR models informed by realistic complex contact patterns among types of individuals (age or activity) are simply mixtures of Poisson processes and tend not to deviate significantly from the simplest mass-action model. Finally, we point out some possible policy implications of this directed structure, both for contact tracing strategy and for interventions designed to prevent superspreading events. In particular, directed graphs have a forward and a backward version of the classic “friendship paradox''---forward edges tend to lead to individuals with high risk, while backward edges lead to individuals with high spread---such that a combination of both forward and backward contact tracing is necessary to find superspreading events and prevent future cascades of infection. Read the full article at: epubs.siam.org
|