 Your new post is loading...
|
Scooped by
Life Sciences UPSaclay
June 7, 2019 4:53 PM
|
La perception de l’environnement implique en général plusieurs modalités sensorielles à la fois, et comme le notait Rimbaud dans le texte célèbre des Correspondances, « les parfums, les couleurs et les sons se répondent » dans notre cerveau. Ainsi il est plus aisé dans un environnement bruyant de suivre son interlocuteur si nous pouvons aussi lire sur ses lèvres. Mais si ce type de phénomène est une observation psychologique bien établie, les mécanismes neuronaux qui nous permettent de combiner l’information de plusieurs sens dans notre perception restent encore très mal connus. Dans un article mis en ligne le 22 mai 2019 par la revue Elife, l’équipe de Brice Bathellier (Institut des Neurosciences Paris Saclay - NeuroPSI), a démontré que, chez la souris, les connections qui, au niveau du cortex, lient le système auditif au système visuel agissent sur le traitement de l’information visuelle d’une manière qui dépend du contexte visuel. En l’absence d’entrée visuelle, les sons inhibent les réseaux de la vision, alors que lorsqu’un son apparaît en coïncidence d’un stimulus visuel, les neurones encodant ce stimulus répondent plus fortement. Combinant des manipulations causales du circuit du cortex visuel par chémogénétique avec des techniques d’imagerie cellulaire in vivo, les chercheurs ont pu établir une partie des circuits responsables de ce phénomène multisensoriel complexe. Ces résultats permettent ainsi de mieux comprendre les mécanismes qui soulignent dans notre champ visuel les événements coïncidant avec un événement sonore. Contact : brice.bathellier@unic.cnrs-gif.fr
|
Scooped by
Life Sciences UPSaclay
May 29, 2019 5:33 AM
|
La relaxine est une hormone peptidique, sécrétée par le corps jaune et le placenta pendant la grossesse, qui favorise l’adaptation de l’utérus au développement de l’embryon. La relaxine possède également des propriétés anti-inflammatoires dont les bénéfices cliniques ont été évalués dans de nombreuses indications comme l'insuffisance cardiaque et la sclérodermie. Toutefois, les injections répétées de relaxine provoquent chez la plupart des patients sclerodermiques une réponse immunitaire et la production d’anticorps anti-relaxine qui ont limité son développement clinique. Alors que chaque individu est sensé être tolérant à ses propres molécules, la relaxine humaine est pourtant immunogénique chez l’homme. De manière à comprendre l’origine de ces réponses immunitaires, les chercheurs du SIMOPRO (CEA/Joliot, Saclay) en collaboration avec les chercheurs de SANOFI ont étudié le répertoire des lymphocytes T chez les sujets normaux sachant que ces cellules interviennent dans l’initiation des réponses immunitaires. Dans un article paru dans le Journal of Immunology, ils démontrent l’existence d’un répertoire important de lymphocytes T spécifiques de la relaxine, circulant dans le sang des donneurs. Le nombre de lymphocytes T est comparable au nombre trouvé pour d’autres protéines thérapeutiques connues également pour être immunogéniques. Les parties de séquence de la relaxine reconnues par les lymphocytes T ont été identifiées ainsi que les molécules HLA impliquées dans leur reconnaissance. En principe, les protéines du soi induisent dans le thymus la sélection négative des lymphocytes T spécifiques et réduisent ainsi le nombre de lymphocytes T autoréactifs circulant dans le sang des donneurs. Les travaux réalisés montrent que les lymphocytes T spécifiques de la relaxine échappent en grande partie à la sélection thymique probablement en raison de la faible concentration de relaxine dans le corps. Ces lymphocytes T peuvent générer une réponse immunitaire lorsqu’ils sont stimulés par les injections de relaxine et provoquer l’apparition des anticorps anti-relaxine. Cette étude montre également que l’humanisation des séquences des protéines thérapeutiques ne garantit en rien leur absence d’immunogénicité. Contact : bernard.maillere@cea.fr
|
Scooped by
Life Sciences UPSaclay
May 29, 2019 4:36 AM
|
Le cerveau est composé de neurones et de cellules gliales, dont les astrocytes, qui jouent un rôle critique pour le bon fonctionnement des neurones. La morphologie de ces cellules est susceptible d’être altérée de manière spécifique, en particulier au cours des maladies neurodégénératives. Il serait donc extrêmement intéressant de disposer d’une méthode d’imagerie non-invasive permettant d’accéder à cette morphologie, pour comprendre les altérations cellulaires ou fournir de nouveaux biomarqueurs. Cependant, la finesse de ces cellules les place bien au-delà de la résolution de toutes les techniques d’imagerie in vivo. Le groupe de Julien Valette (Institut de Biologie François Jacob/MIRCen, CEA de Fontenay-aux-Roses) a développé, dans le cadre d’un projet financé par le Conseil Européen de la Recherche (ERC), des méthodes de spectroscopie RMN in vivo visant à quantifier certaines caractéristiques morphologiques des neurones et astrocytes. En mesurant la diffusion des métabolites naturellement présents dans ces cellules, il devient en effet possible de remonter, par modélisation, à certaines caractéristiques de la structure cellulaire qui contraint leur diffusion. L’article publié dans NeuroImage prouve que ces méthodes permettent de détecter les altérations morphologiques d’un type cellulaire spécifique. Plus précisément, dans un contexte de réactivité astrocytaire chez la souris, où les astrocytes deviennent hypertrophiques, les propriétés de diffusion in vivo du myo-inositol (un métabolite réputé être essentiellement présent dans les astrocytes) sont spécifiquement altérées. La modélisation de la diffusion du myo-inositol permet d’extraire quantitativement les variations morphologiques des astrocytes, ce qui est validé par microscopie confocale. Contact : julien.valette@cea.fr
|
Scooped by
Life Sciences UPSaclay
May 24, 2019 3:38 PM
|
Une équipe de l’I2BC vient de publier en collaboration avec l’équipe de Vitalii Timofeev (Russie) l’étude de souches de la bactérie Bacillus anthracis isolées du permafrost en Yakoutie (Sibérie orientale) ainsi que des souches responsables d’une épidémie en 2016 dans des troupeaux de rennes de la péninsule de Yamal. B. anthracis est la bactérie responsable de la maladie du charbon et affecte principalement les ongulés. Son évolution est strictement clonale et il est simple de reconstituer une phylogénie non ambiguë à partir des données de séquençage du génome de différentes souches. Il est par contre difficile de dater les étapes de cette phylogénie, parce que la bactérie est capable de « sporuler ». Au cours de ces phases de dormance qui peuvent être plus ou moins longues, le génome n’évolue plus, l’horloge moléculaire est en arrêt. L’étude de la structure de la population de l’espèce par analyse des génomes disponibles a permis aux auteurs de mettre en évidence des radiations rapides accompagnées de dispersion géographique. Ces anomalies peuvent parfois être reliées à des évènements exceptionnels d’origine humaine, tels que la colonisation des Amériques par les Européens à partir du 16 ième siècle. Une précédente étude par la même équipe de l’I2BC avait ainsi établi un lien entre une lignée de B. anthracis présente en France et des lignées trouvées en Amérique du Nord et en Afrique de l’Ouest, permettant de proposer un premier évènement de datation dans la phylogénie de l’espèce (cf étoile verte dans la Figure). La nouvelle étude, parue dans PLoS One, propose un second point de datation grâce à la présence de deux polytomies (radiations en étoile à partir d’un ancêtre commun) antérieures à l’exportation vers Afrique et Amérique. Une des souches issues du permafrost de Yakoutie contribue à la plus ancienne de ces polytomies, qui montre une remarquable dispersion géographique à travers l’Eurasie (cf étoile rouge dans la Figure). Seul l’Empire Mongol a assemblé un tel espace géopolitique. Les auteurs proposent que les chevaux, éléments essentiels des armées mongoles, ont constitué le principal vecteur de cette dissémination rapide. À deux reprises sur une courte période de temps au 13 ième siècle, les armées mongoles se sont rassemblées et ont rayonné à partir de la région sud-est du lac Baïkal. Par ailleurs, les Yakoutes qui constituent le principal groupe ethnique de Yakoutie, seraient originaires de la région du lac Baïkal qu’ils auraient quittée à partir des 14 ième et 15 ième siècles, emportant avec eux des souches de B. anthracis. L’acquisition de données de séquençage complémentaires en provenance d’Asie Centrale et de Sibérie pourra permettre de tester plus avant cette hypothèse. Elle pourra peut-être également déterminer l’origine géographique de la contamination des armées mongoles. Légende Figure : hypothèses de datation au sein de l’espèce Bacillus anthracis. Les cercles de couleur représentent chacun une souche différente. La distance entre les souches est constituée par le nombre de mutations ponctuelles. Les souches présentées sont représentatives des deux polytomies et ne couvrent qu’une fraction de l’ensemble de l’espèce. L’étoile rouge marque le point de branchement vers le reste de l’espèce, l’étoile bleue montre le point de départ de la seconde polytomie (France-Italie), l’étoile verte marque le point de départ vers Afrique de l’Ouest et Amérique du Nord, avec des lignages à évolution rapide (branches très longues). Contact : gilles.vergnaud@u-psud.fr
|
Scooped by
Life Sciences UPSaclay
May 22, 2019 12:58 PM
|
Les molécules d’ARN jouent un rôle essentiel dans de nombreux mécanismes biologiques. Avec les progrès des techniques de séquençage à haut-débit et les baisses de coût associées, le séquençage ARN direct (RNA-seq) est devenu une des méthodes les plus populaires d’analyse qualitative et quantitative à haut débit de ce type de molécule. Le RNA-seq a un fort potentiel d’utilisation dans un contexte clinique, par exemple pour la recherche de gènes de fusion dans différents types de cancer. Cependant, cette technique n’est pas toujours simple à mettre en œuvre, avec de nombreux kits commerciaux disponibles pour la préparation des ARN, et des performances variables selon la quantité initiale de matériel disponible. Dans une étude qui vient de paraitre dans Scientific Reports, Eric Bonnet et ses collègues du Centre National de Recherche en Génomique Humaine (CNRGH, Institut de Biologie François Jacob, CEA, Evry) ont analysé en détails trois kits commerciaux populaires pour la préparation des librairies RNA-seq, en fonction de quantité initiale de matériel de 1 microgramme (quantité standard), 100 nanogrammes et 10 nanogrammes (quantité faible) et 1 nanogramme (quantité ultra-faible), ainsi que d’autres critères importants pour le RNA-seq. L’analyse de la qualité des fragments séquencés, de la détection et de l’expression différentielle des gènes montre des différences notables selon les kits et les quantités de matériel. Après une analyse fine de ces différences, une synthèse est faite sur les performances des différents kits, avec des recommandations pour leur utilisation pratique, en fonction de la quantité de matériel disponible, mais aussi en fonction d’autres critères, tels que la facilité d’utilisation ou encore la possibilité d’automatiser la préparation. Contact: eric.bonnet@cng.fr
|
Scooped by
Life Sciences UPSaclay
May 20, 2019 11:20 AM
|
Le croisement d’individus génétiquement éloignés produit souvent des hybrides plus « vigoureux » que leurs parents : leur croissance est plus rapide, leur fertilité plus élevée, leur résistance aux maladies meilleure, etc. Ce phénomène universel, appelé hétérosis ou vigueur hybride, est largement exploité en sélection végétale et animale. Cependant l’ampleur de l’hétérosis pour un caractère donné dans un croisement donné reste très difficile à prédire, en raison de la complexité et de la diversité des mécanismes sous-jacents. Sauf cas particuliers, les méthodes empiriques de prédiction sont donc largement privilégiées. Une équipe de l’UMR GQE – Le Moulon, en collaboration avec le laboratoire Sciences pour l'œnologie de l’INRA de Montpellier, avait montré que l’universalité du phénomène d’hétérosis pouvait provenir de la non-linéarité fréquente des relations génotype-phénotype ou phénotype-phénotype (Fiévet et al. 2018, Scoop-It mai 2018). S’appuyant sur cette interprétation de l’hétérosis, des chercheurs du CEFE et de SupAgro de Montpellier, de l’UMR GQE–Le Moulon et de l’institut Max Planck de Tübingen (Allemagne) ont réussi à prédire l’ampleur de l’hétérosis pour deux caractères chez Arabidopsis thaliana, plante modèle en biologie végétale. Grâce aux données recueillies sur 450 hybrides et leurs parents, d’origines géographiques diverses, ils ont pu établir les lois mathématiques qui reliaient la biomasse au taux de croissance d’une part, au nombre de fruits d’autre part. Ceci leur a permis de modéliser l’hétérosis attendu pour ces caractères connaissant la biomasse des seuls parents. Les relations entre caractères étant concaves, les hybrides dévient de la valeur moyenne de leurs parents, ce qui conduit à leur meilleure vigueur (Fig. A). Jusqu’à 75% de la variance de l’hétérosis ont ainsi pu être expliqués (Fig. B), contre seulement 7% lorsque la prédiction est basée sur la distance génétique entre parents. Ce travail, publié dans PLoS Biology, fait l’objet d’un companion paper qui évoque « l’élucidation d’une énigme d’un siècle en génétique ». Légende Figure. Prédiction de l’hétérosis du taux de croissance à partir de la biomasse de la plante. A. Relation entre la biomasse M (en abscisse) et le taux de croissance (en ordonnée). La courbe correspond à la relation allométrique, mathématiquement connue, entre ces deux caractères (allométrie : croissance différentielle des organes, ou d’un organe et de l’ensemble de l’organisme). Deux parents (en rouge) et leur hybride (en bleu) sont montrés, ainsi que la différence entre la valeur du « parent moyen » et celle de l’hybride (double flèche bleue). B. Relation entre l’hétérosis prédit (en abscisse) et observé (en ordonné), pour deux indices d’hétérosis différents. La relation est très hautement significative, expliquant de 2/3 à 3/4 de la variance de l’hétérosis. Contact : dominique.de-vienne@inra.fr
|
Scooped by
Life Sciences UPSaclay
May 20, 2019 3:55 AM
|
Dans un article récemment publié dans Cell Reports, les chercheurs du laboratoire SABNP (UMR-S 1204 INSERM/UEVE, Evry) et leurs collaborateurs ont étudié le rôle des protéines de liaison à l’ARN dans la réparation de l’ADN. En reconstituant le système de réparation de l’ADN in vitro, une analyse à l’échelle de la molécule unique montre que l’enzyme PARP-1, qui reconnaît les cassures de l’ADN et synthétise le poly(ADP)-Ribose (PAR), permet le recrutement de la protéine de liaison à l’ARN, FUS. Grâce à son domaine de faible complexité auto-attractif, FUS rassemble ensuite l’ADN endommagé dans des compartiments liquides. Ces compartiments sont finalement dissociés par l’action de PARG, une enzyme qui digère PAR. Les chercheurs montrent aussi que la translocation de FUS du noyau vers le cytoplasme dans des cellules mammifères dépend de la dissociation de ces compartiments, sachant que des inclusions cytoplasmiques de FUS ont été identifiées dans les neurones des patients atteints par certaines maladies neurodégénératives comme la Sclérose Latérale Amyotrophique (SLA). Le mécanisme mis en relief dans cet article pourrait constituer un avantage dans le processus de réparation de l'ADN. En effet, il pourrait être avantageux de regrouper de manière transitoire les sites d'ADN endommagé pour accélérer le processus de réparation. Outre les avancées dans la compréhension des mécanismes menant à la réparation de l’ADN, la compartimentation de l’ADN endommagé pourrait constituer une cible pour le traitement du cancer ou des maladies neurodégénératives. Contact : david.pastre@univ-evry.fr
|
Scooped by
Life Sciences UPSaclay
May 19, 2019 5:28 PM
|
Une équipe française du CEA-Inserm, de l'institut IRCM (Institut de biologie François Jacob) vient de publier dans la revue scientifique Nature une étude montrant que des neurones peuvent voir le jour au sein même du microenvironnement tumoral, contribuant ainsi au développement de certains types de cancers et plus spécifiquement du cancer de la prostate.
|
Scooped by
Life Sciences UPSaclay
May 19, 2019 10:17 AM
|
Le profil de consommation des sucres a considérablement changé au cours des dernières décennies. Le fructose constitue 50% du sucre de table, le saccharose, et sa consommation n'a cessé de progresser dans les pays industrialisés et avoisine les 50 à 80 g/j par habitant aux Etats-Unis et 24-40 g/j par habitant dans bon nombre de pays Européens. L’intestin ayant une capacité limitée à absorber le fructose, actuellement 50% de la population ne peut pas absorber totalement la dose journalière moyenne. La malabsorption du fructose est en fait largement sous-estimée dans la population humaine et est associée à des symptômes gastro-intestinaux majeurs dont hypersensibilité viscérale. Cependant, les mécanismes fondamentaux par lesquels le fructose conduit à ces pathologies restent inconnus. Bien que de nombreuses études aient démontré le rôle des bactéries intestinales dans la santé de l'hôte, les interactions entre le fructose et les bactéries intestinales sont peu étudiées. Dans une étude parue dans le FASEB Journal, Véronique Douard et ses collaborateurs de l’Institut MICALIS (INRA/AgroParisTech, Jouy-en-Josas) ont testé l'hypothèse selon laquelle la malabsorption du fructose alimentaire modifie la composition des bactéries dans l'intestin distal et modifie ainsi sur les fonctions endocrines de l'intestin. Des souris présentant une malabsorption du fructose (souris mutées pour le gène de la kétohexokinase [KHK-/-]) ont été utilisées et exposées à un régime contenant 20% de fructose (KHK-F). Une augmentation majeure de l’expression et de la sécrétion de la cholécystokinine (CCK) a été observée chez ces souris mais uniquement dans les parties distales (iléon et caecum) du tube digestif. Or la CCK n'est normalement sécrétée que par les cellules endocrines (EEC) de type I situées dans les régions proximales de l'intestin (jéjunum). En plus de son pourvoir satiétogène, la CCK a été identifiée comme participant à la mise en place de la douleur viscérale dans certaines pathologies gastro-intestinales. Les chercheurs ont donc tenté d’identifier le mécanisme impliqué dans l’augmentation de sa sécrétion en réponse au fructose chez les souris KHK-/-. L’effet activateur de la malabsorption du fructose sur la CCK étant partiellement supprimé chez les animaux ayant reçu un traitement antibiotique, la réponse du microbiote intestinal à la malabsorption du fructose a été étudiée. La composition et le métabolisme du microbiote cæcal étaient modifiés de façon drastique chez les souris KHK-F avec notamment une augmentation des concentrations de propionate. Dans un modèle de culture cellulaire de EEC de souris (GLUTag) et humaines (NCI-H716) ils ont montré une stimulation de d'expression de la CCK par le propionate, ce qui confirme le rôle clé du propionate et donc du microbiote. Les travaux des chercheurs ont mis en avant la possibilité de l’activation spécifique de la sécrétion de CCK par des EEC situées dans des régions du tractus digestif jusqu’alors peu connu pour jouer un rôle dans la production de ce peptide. Leurs résultats fournissent également un mécanisme possible à la mise en place de l’hypersensibilité viscérale chez les patients mal-absorbants le fructose. Contact : veronique.douard@inra.fr
|
Scooped by
Life Sciences UPSaclay
May 16, 2019 8:40 AM
|
Les maladies dégénératives de la rétine, comme la dégénérescence maculaire liée à l’âge (DMLA) ou la rétinite pigmentaire, finissent par entraîner la cécité suite à la perte des photorécepteurs. La découverte de diverses sources de cellules souches rétiniennes quiescentes a ouvert de nouvelles perspectives de traitements par thérapie cellulaire. L’enjeu est de savoir comment recruter et activer ces cellules. Parmi les populations cellulaires d’intérêt se trouvent les cellules de Müller, qui constituent le principal type de cellules gliales de la rétine. Ces cellules sont dotées d'un potentiel de cellule souche en conditions pathologiques. Chez certaines espèces comme le xénope ou le poisson zèbre, elles sont en effet capables de se reprogrammer, de proliférer et de régénérer spontanément et efficacement les neurones de la rétine en réponse à une dégénérescence rétinienne. En revanche, chez les mammifères, leur potentiel est extrêmement limité et elles sont incapables de régénérer le tissu rétinien. Quels sont les mécanismes qui sous-tendent le potentiel souche des cellules gliales de Müller ? Dans une étude qui vient de paraître dans Cell Reports, une équipe de l’Institut des Neurosciences Paris-Saclay s’est intéressée au rôle de la voie de signalisation Hippo dans la régénération de la rétine. YAP, l’effecteur de la voie Hippo, est exprimé spécifiquement dans les cellules de Müller. Son inactivation chez un modèle xénope de rétinite pigmentaire empêche les cellules de Müller de proliférer et donc de régénérer les photorécepteurs. YAP est donc un acteur clé de la régénération rétinienne. Le potentiel souche limité des cellules de Müller de souris pourrait-il être augmenté en suractivant YAP ? Pour répondre à cette question, un adénovirus exprimant une forme constitutivement active de YAP, et capable d’infecter spécifiquement des cellules de Müller, a été produit dans le cadre d’une collaboration avec l’équipe de Deniz Dalkara (Institut de la Vision, Paris). Les résultats ont été spectaculaires : les cellules de Müller de souris sortent de quiescence, se reprogramment en progéniteurs rétiniens et montrent une très forte activité proliférative lorsqu’elles surexpriment YAP. Il a également été montré que cette fonction mitogène du facteur YAP repose sur sa fonction régulatrice de différents composants de la voie de signalisation EGFR. Dans l'ensemble, ces travaux dans deux modèles animaux complémentaires, dotés de capacités régénératives très différentes (xénope et souris), apportent un éclairage nouveau sur le réseau de signalisation qui sous-tend le recrutement des cellules de Müller suite à une lésion rétinienne, étape critique vers la régénération. Elles révèlent en outre une nouvelle cible potentielle pour la médecine régénérative. Contact : muriel.perron@u-psud.fr
|
Scooped by
Life Sciences UPSaclay
May 8, 2019 5:51 PM
|
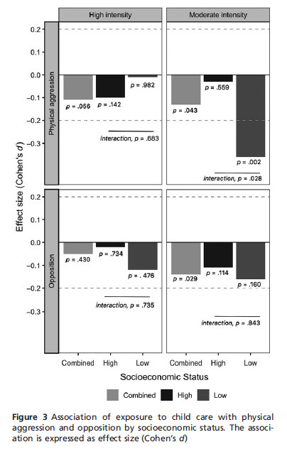
Le fait de bénéficier d’un mode de garde professionnel avant l’entrée à l’école permet de bénéficier d’interactions sociales qui pourraient aider les enfants à acquérir les normes de comportement attendues. Pour certains enfants, la fréquentation d’un mode de garde pourrait également réduire l’exposition à des situations adverses au sein de la famille. Une étude qui vient de paraitre dans le Journal of Child Psychology and Psychiatry, et qui a rassemblé des chercheurs de trois centres d’épidémiologie dont le CESP de Villejuif, avait pour objectif de déterminer si l’intensité de l’exposition à un mode de garde avant l’âge de 5 ans a un effet bénéfique sur les problèmes de comportement au cours de l’adolescence, et si cet effet est plus important chez les enfants de familles défavorisées. 1588 participants de l’Etude Longitudinale sur le Développement au Québec ont été évalués 14 fois entre 5 mois et 17 ans. L’intensité du mode de garde a été mesurée entre 5 mois et 5 ans. Les variables étudiées étaient l’agressivité physique vis-à-vis d’autres personnes et les comportements d’opposition (ex. disputes fréquentes, refus d’obéir aux adultes), mesurés entre 12 et 17 ans. La situation sociale familiale a été mesurée à 5 mois. Les facteurs pouvant expliquer des différences en termes de mode de garde préscolaire (niveau de revenus, composition de la famille, caractéristiques de santé de la mère et de l’enfant) ont été pris en compte par la méthode des scores de propension. L’étude montre que les enfants ayant bénéficié d’un mode de garde préscolaire de manière modérée (mode de garde à temps partiel avant l’âge d’un an et demi puis à temps partiel après) ont rapporté des niveaux d’agressivité physique (d=-0,11, p=0,056) et de comportements d’opposition (d=-0,14, p=0,029) durant l’adolescence plus bas que les enfants qui ont moins bénéficié d’un mode de garde. Les chercheurs ont observé une interaction significative entre mode de garde et situation sociale de la famille (p=0,017) pour l’agressivité physique, indiquant que l’effet d’un mode de garde d’intensité modéré était spécifique aux enfants issus de familles défavorisées (d=-0,36, p=0,002). Ils n’ont par contre pas observé d’interaction entre mode de garde, situation sociale de la famille, et comportements d’opposition. En conclusion, la fréquentation, de manière modérée, d’un mode de garde avant l’entrée à l’école pourrait prévenir l’apparition de comportements perturbateurs pendant l’adolescence, particulièrement chez les enfants de familles défavorisées. Contact : maria.melchior@inserm.fr
|
Scooped by
Life Sciences UPSaclay
April 30, 2019 11:54 AM
|
A leur retour à la ruche d’un vol de butinage, les abeilles communiquent à leurs congénères des informations sur la source de nourriture butinée. Ces informations portent sur son emplacement par la réalisation d’une danse frétillante (découverte par Karl von Frisch, Prix Nobel de Physiologie ou Médecine 1973), tandis que sa nature est renseignée par l’odeur de la plante visitée qu’elles portent sur leur corps et par le nectar distribué par un échange de nourriture appelé trophallaxie. Ce transfert de nourriture était considéré comme obligatoire, agissant comme une récompense, pour qu’ainsi informées, d’autres abeilles quittent la ruche pour aller butiner cette plante. Une étude publiée dans la revue Current Biology vient de montrer qu’il n’en est rien et a révélé un nouveau mécanisme d’apprentissage social chez les abeilles. En réalisant des analyses comportementales et des enregistrements des mouvements antennaires des abeilles, les chercheurs du Laboratoire Evolution, Génomes, Comportement et Ecologie (EGCE, Gif-sur-Yvette) ont montré qu’un simple contact social par les antennes agit comme une récompense. Ainsi, une odeur qui n’a initialement aucun effet sur le comportement des abeilles se met à déclencher une réponse appétitive d’extension des pièces buccales lorsqu’elle est associée à ce contact social. Ces résultats montrent que le transfert de nectar n’est pas nécessaire pour l’apprentissage olfactif et que même lorsque l’abeille butineuse de retour à la colonie a totalement déchargé le contenu de sa récolte, elle peut toujours informer les autres abeilles de l’odeur d’une source alimentaire, grâce à la récompense sociale qu’elle fournit par ses contacts antennaires. Ce mécanisme d’apprentissage social est susceptible de faciliter l’exploitation des ressources par les abeilles, mais aussi d’autres groupes sociaux. Contact : Jean-Christophe.Sandoz@egce.cnrs-gif.fr
|
Scooped by
Life Sciences UPSaclay
April 29, 2019 9:04 AM
|
L’adaptation fine de la croissance de la plante à son environnement joue un rôle clé dans sa survie, d’autant plus qu’elle est fixée au sol. Grâce au Phenoscope, un robot de culture permettant de faire du phénotypage haut-débit en conditions strictement contrôlées et reproductibles, des chercheurs de l’Inra (l’Institut Jean-Pierre Bourgin - IJPB,Versailles-Grignon) révèlent la grande complexité génétique permettant des variations de croissance aérienne de la plante en réponse à la limitation de la disponibilité en eau. Publiés dans PLoS Genetics, ces résultats ouvrent de nouvelles perspectives dans la découverte des variations génétiques qui contrôlent la réponse aux stress pour des caractères d’intérêt adaptatif et agronomique.
|
|
Scooped by
Life Sciences UPSaclay
May 30, 2019 5:04 PM
|
Les myopathies des ceintures (ou LGMD pour Limb-Girdle Muscular Dystrophies) constituent un ensemble de maladies musculaires rares qui se manifestent par une diminution lente de la force des muscles du bassin (ceinture pelvienne) et des épaules (ceinture scapulaire). D'origines génétiques, plus de trente gènes sont impliqués dans l'apparition et la transmission de ces maladies parmi lesquels le gène SGCA à l’origine de la LGMD de type 2D (LGMD 2D). Publiés dans la revue Scientific Reports, les travaux des équipes d’Isabelle Richard (Genethon) et de Xavier Nissan (I-Stem, Evry) portent plus particulièrement sur une des mutations les plus fréquemment observées chez ces patients (c.229C>T) qui induit le remplacement en position 77 d’une arginine par une cystéine (R77C). Bien que fonctionnelle, la sarcoglycane alpha R77C est reconnue par le contrôle qualité des protéines comme étant mal conformée puis dégradée par le protéasome. Dans cette étude, les chercheurs ont développé puis réalisé un criblage pharmacologique à haut débit (ou HTS pour High Throughput Screening) de plusieurs milliers de candidats médicaments sur un modèle cellulaire de cette pathologie. Leurs travaux aboutissent à l’identification du Thiostrepton, un antibiotique oligopeptidique cyclique, comme étant capable de prévenir la dégradation de cette protéine. Contact : xnissan@istem.fr ou richard@genethon.fr
|
Scooped by
Life Sciences UPSaclay
May 29, 2019 5:05 AM
|
Une innovation thérapeutique prometteuse pour le déficit en transporteur de la créatine
Deux équipes de l’Institut Joliot (CEA-SPI/SCBM) en collaboration avec l’Université de Cincinnati viennent de confirmer l’intérêt d’un candidat médicament pour traiter le syndrome de déficit congénital en créatine, maladie neurologique rare engendrant chez des enfants des troubles de la sphère autistique, des déficits intellectuels moyens à profonds, des troubles majeurs de la communication et du développement notamment psychomoteur. Cette pathologie pourrait représenter 1 à 2% des retards mentaux d'étiologie inconnue. Si cette maladie reste rare, plusieurs indicateurs montrent qu'elle est encore largement sous-diagnostiquée. C'est une pathologie très invalidante, qui affecte majoritairement les garçons, et ne bénéficie d'aucune solution thérapeutique. Elle est due à une altération génique dont la transmission est héréditaire et qui entraine l'absence de fonctionnalité du transporteur de la créatine, impliqué dans les boucles de régulation de l'énergie cellulaire. La stratégie de recherche repose sur le développement d'un médicament à visée pédiatrique avec des exigences de qualité pharmaceutique chez l'enfant malade afin de réduire voire supprimer ses troubles neuro-cognitifs. Un tel médicament pourrait également aider ou soigner les adultes affectés Les résultats obtenus dans un modèle animal de la maladie montrent qu’il est possible de court-circuiter la barrière hémato-encéphalique par un transport rétrograde par les nerfs olfactifs et trijumeaux en utilisant des microsphères d’ester-dodécylique de créatine administrées par voie nasale. Les essais chez la souris se traduisent par l’amélioration de fonctions cognitives associée à la présence proportionnelle de créatine dans les différentes aires cérébrales des animaux traités. Ces résultats sont publiés dans Nanomedicine et font l’objet d’une demande de brevet. Contact : aloise.mabondzo@cea.fr
|
Scooped by
Life Sciences UPSaclay
May 29, 2019 4:19 AM
|
Au cours du développement embryonnaire, les cellules se différentient et acquièrent une identité. Le processus de différenciation est unidirectionnel et irréversible. Comprendre les mécanismes qui préviennent la dédifférenciation est crucial. Si ces mécanismes sont corrompus, ils favorisent l'apparition de tumeurs et leur propagation. L'une des premières structures à se différencier dans l’embryon est l’organisateur de Spemann. Ce processus est contrôlé par la signalisation Wnt/βCatenin. En présence d’un ligand Wnt une augmentation nucléaire de βCatenin détache de l’ADN le facteur de transcription T-Cell factor (Tcf) lié à des co-répresseurs, et transforme transitoirement le Tcf en activateur transcriptionnel. La répression de la transcription via les facteurs Tcfs est indispensable à la différentiation des cellules. La protéine BarH-like homéobox-2 (Barhl2), est un facteur de transcription conservé au cours de l'évolution. Dans une étude qui vient de paraître dans Development, Béatrice Durand et ses collaborateurs au sein de l’unité Signalisation normale et pathologique : de l’embryon aux thérapies innovantes des cancers (CNRS UMR 3347, INSERM U1021, Institut Curie, Université Paris-Sud, Orsay) démontrent que Barhl2 augmente considérablement l'activité répressive des Tcfs in vitro et in vivo, et prévient la transactivation des gènes cibles de la voie Wnt par la ßCaténine. Barhl2 maintient réprimée l'expression des gènes cibles de Tcf par un mécanisme de restructuration de la chromatine qui se transmet de façon héréditaire. De cette façon, Barhl2 limite la formation de l'organisateur dans le temps et/ou l'espace et joue un rôle crucial pour conduire les cellules vers un engagement et une différenciation irréversibles. En étudiant les signaux qui contrôlent la croissance et la différenciation des cellules, les chercheurs peuvent mieux comprendre comment ces processus se corrompent lors de l'émergence de cancer et trouver de nouvelles voies pour éliminer les cellules tumorales. Contact : beatrice.durand@curie.fr
|
Scooped by
Life Sciences UPSaclay
May 22, 2019 1:06 PM
|
L'émergence des nanotechnologies dans le domaine de la santé a conduit au développement de systèmes de délivrance ciblée de médicaments (vecteurs nanométriques). Ces vecteurs doivent permettre de transporter des molécules actives à travers les barrières biologiques pour les acheminer sélectivement vers une cible thérapeutique. Parmi les différentes formulations, les micelles présentent un certain nombre d'avantages tels qu’un assemblage aisé, une chimie de surface modulable et une taille compacte qui permet une diffusion profonde dans les tissus cibles. Des études antérieures ont montré que les micelles étaient performantes in vivo pour le ciblage passif et la thérapie de tumeurs. Toutefois, leur utilisation reste contrainte par une capacité d’encapsulation variable et une libération parfois incontrôlée de la cargaison médicamenteuse à l’issue de l’administration. Afin de contourner ce problème, le Service de Chimie Bioorganique et de Marquage (SCBM, CEA-Joliot, Saclay) en collaboration avec MIRCen (CEA-Jacob, Fontenay-aux-Roses), a développé des micelles constituées d’unités amphiphiles qui incorporent directement le principe actif dans leur structure. Les conjugués amphiphiles ont été synthétisés à partir de l’épipodophyllotoxine (inhibiteur de topoisomérase) qui a été insérée de façon covalente entre une unité PEG hydrophile (qui assure l’interface avec le milieu environnant) et une chaîne hydrophobe (formant le cœur de la micelle). L’association de l’épipodophyllotoxine aux amphiphiles constitutifs de la micelle permet d’assurer une teneur élevée en principe actif et empêche la libération précoce de l'agent thérapeutique. Les micelles, qui présentent une activité cytotoxique endogène, ont montré un très bon comportement in vivo avec une biodistribution favorable et un ciblage tumoral fort (xénogreffes MDA-MB-231). Ces travaux font l’objet d’une publication qui vient de paraitre dans Nanoscale. Contact : eric.doris@cea.fr
|
Scooped by
Life Sciences UPSaclay
May 21, 2019 5:23 PM
|
Une revue publiée récemment par les équipes INSERM UMR-S 999 « Pulmonary Arterial Hypertension: Physiopathology and Therapeutic Innovation » (INSERM/UPSud, Le Plessis-Robinson) et INSERM UMR-S 970 « Paris Cardiovascular Research Center» dans The American Journal of Pathology résume les connaissances actuelles concernant la physiopathologie de la maladie veino-occlusive hépatique et pulmonaire et décrit les similitudes et les différences entre ces deux entités. La maladie veino-occlusive hépatique (MVOH), également connue sous le nom de syndrome d'obstruction sinusoïdale (SOS), peut se développer comme complication après exposition à la chimiothérapie dans le cadre d'une transplantation de cellules souches hématopoïétiques (HSCT). La MVOH peut également être une complication de l'ingestion de toxines telles que les alcaloïdes pyrrolizidiniques. La maladie veino-occlusive pulmonaire (MVOP) affecte la microvascularisation pulmonaire (Figure 1). Elle peut se développer après exposition à des chimiothérapies (agents alkylants). De plus, la MVOP a également été associée à des pathologies auto-immunes et à l'exposition professionnelle aux solvants. Enfin, la forme héréditaire de la MVOP est due à des mutations bi-alléliques du gène EIF2AK4. Les deux entités semblent partager des caractéristiques histopathologiques et des mécanismes physiopathologiques communs. De plus, les deux entités peuvent se développer après exposition à la chimiothérapie. Elles sont toutes les deux associées à un pronostic sombre et à des thérapeutiques limitées. Une meilleure compréhension des mécanismes conduisant à ces pathologies représente une opportunité de développer des innovations thérapeutiques. Contact : david.montani@aphp.fr, frederic.perros@inserm.fr ou sven.gunther@aphp.fr
|
Scooped by
Life Sciences UPSaclay
May 20, 2019 4:14 AM
|
L’observation des systèmes biologiques par microscopie de fluorescence connait une véritable révolution avec l’avènement des techniques de super-résolution optique permettant de dépasser la limite de diffraction, travaux récompensés par le prix Nobel de Chimie en 2014 et le prix Breakthrough en 2018. Le microscope se mue ainsi en nanoscope offrant des échelles d’observation jusque-là inégalées. Cependant différentes limitations restreignaient encore la portée des observations comme une résolution en profondeur relativement limitée et restreinte ainsi que la persistance de différents biais de mesures comme des dérives axiales ou des problèmes de chromatismes limitant les performances de ces microscopes. Dans un article qui vient de paraitre dans Nature Communications, des physiciens de l’Institut des Sciences Moléculaire d’Orsay (ISMO, CNRS/Université Paris Saclay), de l’Institut Langevin (ESPCI/CNRS) et du Centre de Photonique Biomédicale (Université Paris Saclay) viennent de montrer que la position axiale des molécules fluorescentes pouvait être obtenue de façon absolue avec une précision nanométrique. Pour cela, ils ont utilisé une propriété particulière de l’émission de fluorescence à proximité de la lamelle de verre sur laquelle les cellules sont déposées. Cette émission dite supercritique est en plus insensible aux dérives axiales ainsi qu’au problème de chromatisme. En associant cette technique à d’autres méthodes de localisation axiales, ils ont pu étendre les performances de localisation au-delà du premier micron, tout en conservant une mesure absolue et sans biais. En collaboration avec des collègues chimistes de l’Institut de Chimie des Substances Naturelles (ISCN, CNRS/Université Paris Saclay, Gif-sur-Yvette) et biologistes (INP, CNRS/Université Aix Marseille), cette nouvelle méthode, appelée DAISY, a permis d’observer en 3D différentes protéines du cytosquelette cellulaire, l’insertion d’une sonde fluorescente introduite par « click chemistry » dans des bactéries ou la position de différentes protéines dans des neurones. Ces résultats sont le fruit d’une collaboration étroite et fortement interdisciplinaire entre des laboratoires du CNRS relevant de l’INP, l’INC, l’INSIS et l’INB. Ils ont reçu le soutien du Fond AXA pour la recherche, du Labex WIFI, du DIM NanoK, du réseau européen LaserLab et de l’IRS Bioprobe de l’Université Paris-Saclay. Ces travaux font l’objet d’un transfert technologique auprès de la société Abbelight, jeune start-up en biotechnologies issue de l’ISMO et de l’Institut Langevin. De nombreuses recherches en biologie vont ainsi pouvoir bénéficier très rapidement de cette nouvelle technique qui offre des avantages uniques en termes d’imagerie cellulaire 3D. Légende Figure : a) et b) représente une image DAISY en 2D et 3D de bactéries E.Coli marquées par click chemistry, c) représente l’organisation de l’adducine et la B2 spectrine dans des neurones de rat, d) et e) sont des coupes axiale et latérale de (c) qui confirment l’organisation tubulaire et l’alternance latérale des 2 protéines avec une périodicité de 190 nm. Contact : sandrine.leveque-fort@u-psud.fr ou emmanuel.fort@espci.fr
|
Scooped by
Life Sciences UPSaclay
May 20, 2019 3:45 AM
|
Les travaux d’une collaboration internationale parus dans Molecular Biology & Evolution, impliquant des chercheurs de l’Institut Max Planck d'Ecologie Chimique à Iéna (Allemagne), de l’Université d’Adélaïde (Australie) et de l’unité Ecologie, Systématique et Evolution à Orsay (France), ont permis de disséquer la base fonctionnelle et évolutive d’une contre-adaptation d’un insecte contre les défenses chimiques de ses plantes hôtes. La Teigne des choux (Plutella xylostella) dépend de l’activité enzymatique de la glucosinolate sulfatase (GSS) afin que l’insecte puisse surmonter un système de défense de l'hôte hautement diversifié, basé sur des métabolites spécialisés qu’on trouve chez les crucifères. Les chercheurs ont montré que le génome de l’insecte possède plusieurs copies du gène GSS. Contrairement aux attentes, la diversification fonctionnelle précoce des copies de gènes n’indiquait pas une course aux armements co-évolutive entre hôte et herbivore. Au lieu de cela, des copies du gène GSS ont évolué de manière concertée dans le contexte d’un changement d’hôte pour acquérir de nouvelles fonctions de détoxification sous sélection positive, un nouveau schéma de rétention de gène en double appelé « néofonctionnalisation concertée ». Contact : juergen.kroymann@u-psud.fr
|
Scooped by
Life Sciences UPSaclay
May 19, 2019 10:42 AM
|
Les simulations de dynamique moléculaires sont des approches de calcul puissantes qui permettent notamment de sonder des interactions biomoléculaires à l’échelle atomique et constituent un complément très utile aux approches expérimentales de biologie structurale. Le groupe de Stéphane Bressanelli à l’Institut de Biologie Intégrative de la Cellule (I2BC, Gif-sur-Yvette) combine ainsi des méthodes expérimentales (cristallographie, RMN, microscopie électronique, diffusion des rayons X) et de simulation pour comprendre les interactions moléculaires dans des processus pathologiques et thérapeutiques. Dans un article récemment paru dans le Journal of Biological Chemistry, le groupe a ainsi mis au point un protocole de calcul permettant de récapituler la diffusion de nucléotide jusqu’au site actif, pourtant enfoui, de la polymérase du virus de l’hépatite C. Cette enzyme appartient à une classe de polymérases qui dirigent la réplication du génome ARN de nombreux virus pathogènes et constitue donc une cible thérapeutique majeure. De fait, un analogue de nucléotide est l’une des molécules utilisées maintenant en multithérapie et permettant de guérir plus de 95% des personnes infectées chroniquement par le virus de l’hépatite C. Pour de nombreux autres virus cependant, comme Zika, dengue ou Chikungunya, on ne dispose actuellement d’aucun traitement curatif. L’un des intérêts du travail est d’éclairer le mécanisme particulier de sélection de nucléotide de ces polymérases, expliquant ainsi en partie la possibilité de développer des analogues très efficaces contre ces virus mais non toxiques pour l’homme. Contact : stephane.bressanelli@i2bc.paris-saclay.fr
|
Scooped by
Life Sciences UPSaclay
May 16, 2019 3:54 PM
|
Source: www.medscape.com La polyarthrite rhumatoïde est la maladie auto-immune systémique la plus fréquente, atteignant 0.5% de la population générale adulte. Cette maladie cause un handicap important du fait de la destruction des articulations. Les facteurs génétiques jouent une part significative dans la survenue de la maladie. Un motif particulier sur le gène HLA DR du système immunitaire appelé épitope partagé représente la majorité du risque génétique. Il est situé dans la poche à peptides et son rôle serait de favoriser la survenue d’anticorps dirigés contre les protéines citrullinés qui conduirait à la destruction progressive des articulations. Cependant du fait de la proximité de l’épitope partagé avec un acide aminé valine en position 11, il était très difficile de déterminer l’influence de chacun. Les macaques mauriciens présentent l’avantage d’être assez proches de l’homme mais aussi légèrement différents : Certains animaux portent l’épitope partagé et d’autre la valine 11. Ceci a permis à une équipe de l’UMR-S 1184 (INSERM/CEA/UPSud, membre du LabEx LERMIT et service de rhumatologie du CHU Bicêtre) de montrer que contrairement à ce qui était admis par le passé, la valine 11 a un rôle plus important que l’épitope partagé dans le risque d’auto-immunité contre des protéines citrullinées (anticorps fréquemment retrouvés chez les patients atteints de polyarthrite). Le Pr Mariette qui a dirigé ce travail publié le 25 avril 2019 dans Annals of Rheumatic Diseases, le journal n°1 de rhumatologie, nous confie : « Comprendre plus finement les facteurs de risques génétiques nous permet de mieux appréhender les mécanismes à l’origine de la maladie. Ceci qui nous permet d’avancer vers une guérison plutôt que d’avoir besoin d’une pression médicamenteuse permanente pour éviter les destructions articulaires ». Contact : xavier.mariette@aphp.fr
|
Scooped by
Life Sciences UPSaclay
May 12, 2019 6:08 PM
|
L’une des étapes cruciales de la gestation est l’implantation de l’embryon dans l’utérus au contact d’un tissu appelé endomètre. Cependant, les mécanismes qui permettent cette implantation demeurent encore largement méconnus. Une collaboration franco-américaine menée par des chercheurs de l’Inra révèle qu’entre l’embryon et l’endomètre s’établit une intense communication qui leur permet de s’adapter l’un à l’autre. Les scientifiques ont analysé, chez des bovins, l’expression des gènes dans l’embryon et l’endomètre en début de gestation. Ils ont montré que de nombreux processus biologiques à l’œuvre dans les deux tissus sont étroitement corrélés. Publiés dans PLoS Biology, les résultats de ces recherches peuvent aider à mieux comprendre comment des défauts dans les processus d’adaptation réciproques entre l’endomètre et l’embryon peuvent conduire à des échecs de gestation précoces chez les mammifères. Contact : olivier.sandra@inra.fr
|
Scooped by
Life Sciences UPSaclay
May 2, 2019 5:24 PM
|
L'incidence du cancer du sein (KS) a augmenté au cours des dernières décennies et il existe un intérêt croissant pour examiner la contribution des perturbateurs endocriniens (PE) à cette augmentation. En particulier, les substances alkylées perfluorées (PFASs), comprenant PFAS et PFOA, constituent une famille de produits synthétiques stables et persistants, qui ont été classés comme PE. Les PFAS sont hydrofuges et oléofuges et ils ont donc été largement utilisés dans plusieurs produits tels que les vêtements résistants à l'eau et les casseroles antiadhésives. Compte tenu de la large distribution environnementale de ces composés, il est essentiel de mieux connaître leur association avec le risque de KS. C'est pourquoi Francesca Romana Mancini et ses collègues de l’équipe Générations et Santé du Centre de recherche en Epidémiologie et Santé des Populations (CESP, Inserm UMR 1018, Paris Saclay, Gustave Roussy) à Villejuif, ont étudié les associations entre les concentrations sériques de PFOS et PFOA et le risque de cancer du sein chez les femmes. Les chercheurs ont sélectionné, dans la cohorte E3N qui comprend 98 995 françaises, 194 femmes atteintes d'un KS et 194 témoins pour lesquelles des échantillons de sang étaient disponibles. Les résultats de cette étude, publiée par l'International Journal of Cancer, ont montré que les concentrations sériques de PFAS étaient différemment associées au risque de KS selon les caractéristiques de la tumeur : alors que la concentration de PFOS était associée de façon positive et linéaire au risque de KS au statut positif pour les récepteurs à œstrogènes et progestérone, seules les faibles concentrations de PFOS et PFOA étaient associées au risque de KS au statut négatif pour ces récepteurs. Ces résultats soulignent l’importance de considérer l’exposition aux PFAS comme un potentiel facteur de risque de KS. Contact : francesca.mancini@gustaveroussy.fr
|
Scooped by
Life Sciences UPSaclay
April 30, 2019 7:33 AM
|
Microtubules are involved in many key functions of eukaryotic cells, including cell division, intracellular transport, and cell shape. They are hollow tubes made of parallel filaments, themselves formed by the self-assembly of αβ-tubulin molecules. Whereas microtubules lengthen and shorten from their ends dynamically, their birth, called nucleation, remains poorly understood. To gain information on this process, Benoit Gigant from I2BC (CNRS/UPSud/CEA, Gif-sur-Yvette), Christian Poüs from UMR-S 1193 (INSERM/UPSud, Châtenay-Malabry) and their colleagues have determined the structure of tubulin bound to CopN, a bacterial protein that delays nucleation. Together with the behavior of artificial tubulin-binding proteins, their results published recently in PNAS lead to the hypothesis that targeting two filaments at the fast-growing end of the microtubule inhibits nucleation. They also suggest different dynamics at both ends of the nucleus. Contact: benoit.gigant@i2bc.paris-saclay.fr or christian.pous@u-psud.fr
|